自作フリーソフトの紹介や、WPFのサンプルコード、Androidで使用できるライブラリ/サンプルコードの紹介を行っています。
2020-12-31T13:59:00+09:00 2021-01-01T01:13:18Z 確率・統計
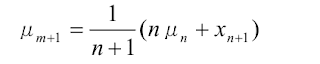
データ処理をしているときに、全データを取得完了する前に平均や分散を求めたいときにがあります。そのような場合は以下の数式で求めます。
〇平均
0 件のコメント :
コメントを投稿